Delete Node in a BST - LeetCode
주어진 이진 탐색 트리 (BST)의 루트 노드 참조와 키 (값)가 주어집니다.
이 BST에서 주어진 키와 동일한 값을 가지는 노드를 삭제하고, 삭제한 후의 BST의 루트 노드 참조를 반환합니다.
삭제 과정을 다음과 같이 나눌 수 있습니다:
1. 삭제할 노드를 찾습니다.
2. 노드를 찾으면 삭제합니다.
Given a root node reference of a BST and a key, delete the node with the given key in the BST. Return the root node reference (possibly updated) of the BST.
Basically, the deletion can be divided into two stages:
Example 1:

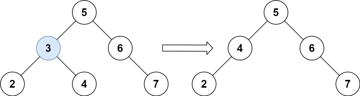
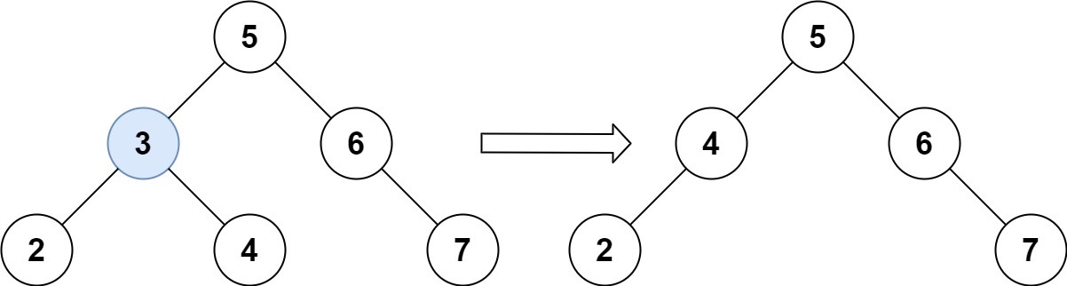
Input: root = [5,3,6,2,4,null,7], key = 3
Output: [5,4,6,2,null,null,7]
Explanation: Given key to delete is 3. So we find the node with value 3 and delete it.
One valid answer is [5,4,6,2,null,null,7], shown in the above BST.
Please notice that another valid answer is [5,2,6,null,4,null,7] and it's also accepted.

Example 2:
Input: root = [5,3,6,2,4,null,7], key = 0
Output: [5,3,6,2,4,null,7]
Explanation: The tree does not contain a node with value = 0.
Example 3:
Input: root = [], key = 0
Output: []
문제 요약:
주어진 BST에서 특정 키를 가진 노드를 삭제한 후의 BST를 반환하는 문제입니다.
풀이과정 설명:
이 문제는 재귀적으로 BST를 탐색하고 노드를 삭제하는 작업을 수행하는 것이 주요합니다. 주요 풀이 단계는 다음과 같습니다
class Solution {
public TreeNode deleteNode(TreeNode root, int key) {
if(root == null) return null;
if(key < root.val){
root.left = deleteNode(root.left, key);
}else if(key > root.val){
root.right = deleteNode(root.right, key);
}else{
if(root.left == null){
return root.right;
}else if(root.right == null){
return root.left;
}
root.val = findMinValue(root.right);
root.right = deleteNode(root.right, root.val);
}
return root;
}
private int findMinValue(TreeNode node) {
while (node.left != null) {
node = node.left;
}
return node.val;
}
}| 547. Number of Provinces (0) | 2023.10.30 |
|---|---|
| 841. Keys and Rooms (0) | 2023.10.29 |
| 700. Search in a Binary Search Tree (0) | 2023.10.29 |
| 1161. Maximum Level Sum of a Binary Tree (0) | 2023.10.29 |
| 199. Binary Tree Right Side View (0) | 2023.10.29 |