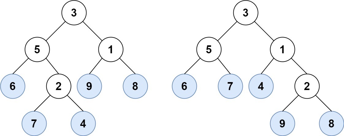
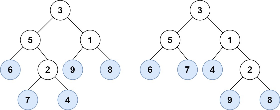
이진 트리의 모든 잎을 왼쪽에서 오른쪽 순서로 고려할 때, 이러한 잎의 값은 잎 값 시퀀스를 형성합니다.
예를 들어, 위에 제시된 트리의 경우, 잎 값 시퀀스는 (6, 7, 4, 9, 8)입니다.
두 이진 트리가 동일한 잎 값 시퀀스를 가지고 있다면, 이 두 트리는 잎 동일한 것으로 간주됩니다.
만약 주어진 두 개의 트리인 root1과 root2의 루트 노드가 잎 동일하다면 true를 반환하십시오.
Consider all the leaves of a binary tree, from left to right order, the values of those leaves form a leaf value sequence.

For example, in the given tree above, the leaf value sequence is (6, 7, 4, 9, 8).
Two binary trees are considered leaf-similar if their leaf value sequence is the same.
Return true if and only if the two given trees with head nodes root1 and root2 are leaf-similar.
Example 1:

Input: root1 = [3,5,1,6,2,9,8,null,null,7,4], root2 = [3,5,1,6,7,4,2,null,null,null,null,null,null,9,8]
Output: true
Example 2:

Input: root1 = [1,2,3], root2 = [1,3,2]
Output: false
문제 요약
두 주어진 이진 트리의 리프 노드 값 순서가 동일한지 여부를 판단합니다.
풀이과정
주어진 두 이진 트리의 리프 노드를 순회하고, 순회한 리프 노드 값들을 비교하여 동일한지 여부를 확인해야 합니다. 이를 위해 깊이 우선 탐색(DFS)을 사용할 수 있습니다.
/**
* Definition for a binary tree node.
* public class TreeNode {
* int val;
* TreeNode left;
* TreeNode right;
* TreeNode() {}
* TreeNode(int val) { this.val = val; }
* TreeNode(int val, TreeNode left, TreeNode right) {
* this.val = val;
* this.left = left;
* this.right = right;
* }
* }
*/
class Solution {
public boolean leafSimilar(TreeNode root1, TreeNode root2) {
List<Integer> list1 = new ArrayList<>();
List<Integer> list2 = new ArrayList<>();
dfs(root1, list1);
dfs(root2, list2);
return list1.equals(list2);
}
private void dfs(TreeNode node, List<Integer> list) {
if (node == null) return;
if (node.left == null && node.right == null) {
list.add(node.val);
}
dfs(node.left, list);
dfs(node.right, list);
}
}
| 2215. Find the Difference of Two Arrays (0) | 2023.10.29 |
|---|---|
| 1448. Count Good Nodes in Binary Tree (0) | 2023.10.26 |
| 104. Maximum Depth of Binary Tree (0) | 2023.10.26 |
| 394. Decode String (0) | 2023.10.26 |
| 2352. Equal Row and Column Pairs (0) | 2023.10.26 |