Maximum Depth of Binary Tree - LeetCode
주어진 이진 트리의 최대 깊이를 반환하세요. 이진 트리의 최대 깊이는 루트 노드부터 가장 먼 리프 노드까지의 경로에 있는 노드 수입니다.
Given the root of a binary tree, return its maximum depth.
A binary tree's maximum depth is the number of nodes along the longest path from the root node down to the farthest leaf node.
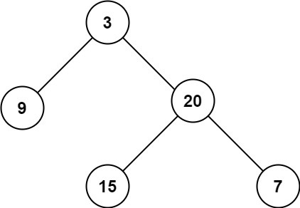
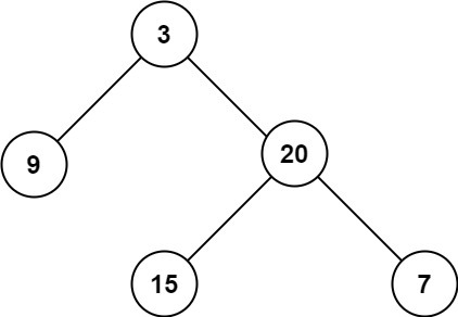
Example 1:

Input: root = [3,9,20,null,null,15,7]
Output: 3
Example 2:
Input: root = [1,null,2]
Output: 2
문제요약
주어진 이진 트리의 최대 깊이를 구해야 합니다.
풀이과정
주어진 이진 트리의 최대 깊이를 찾기 위해 재귀적으로 트리의 깊이를 계산할 수 있습니다. 루트 노드부터 시작하며, 왼쪽 서브트리와 오른쪽 서브트리 중 더 깊은 쪽을 선택하여 깊이를 계산합니다.
이를 재귀적으로 모든 노드에 대해 반복하면 최대 깊이를 찾을 수 있습니다
/**
* Definition for a binary tree node.
* public class TreeNode {
* int val;
* TreeNode left;
* TreeNode right;
* TreeNode() {}
* TreeNode(int val) { this.val = val; }
* TreeNode(int val, TreeNode left, TreeNode right) {
* this.val = val;
* this.left = left;
* this.right = right;
* }
* }
*/
class Solution {
public int maxDepth(TreeNode root) {
if(root == null) return 0;
int depthLeft = maxDepth(root.left)+1;
int depthRight = maxDepth(root.right)+1;
return Math.max(depthLeft, depthRight);
}
}| 1448. Count Good Nodes in Binary Tree (0) | 2023.10.26 |
|---|---|
| 872. Leaf-Similar Trees (0) | 2023.10.26 |
| 394. Decode String (0) | 2023.10.26 |
| 2352. Equal Row and Column Pairs (0) | 2023.10.26 |
| 2095. Delete the Middle Node of a Linked List (0) | 2023.10.24 |